چند رقم مهم در تخنیک فضا نوردی
سه عددی که فکر بنیاد گذارن کیهان نوردی عصر جدید را همیشه تسخیر نموده بود و احتمالاً خواب آنها را تخلیل میکرد ارقام ذیل است:
سرعت اول فضایی:
این سرعتی است که به یک جسم داده شود تا آن جسم روی مدار دایروی در نزدیکی سطح زمین بچرخد.

این عدد طور ذیل محاسبه میشود:
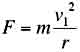
جسمی که دور زمین باید بچرخد زیرتاثیر دوقوه متضادی که تعادل ان را برابر می کند است. قوه اول آن بنام قوه فرار از مرکز است که متناسب به مربع سرعت بطور ذیل میباشد:

درین جا m کتله، v سرعت و r=R مصافه این جسم از مرکز زمین است.
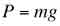
قوه دیگری که از آن ذکر شد همانا وزن جسم میباشد که بصورت ذیل نوشته میشود:

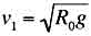
از مساوات این دو قوه سرعت جسم بطور ذیل استخراج میشود:

جالب اینست که در محاسبه این سرعت کتله داخل نیست یعنی سرعت به کتله ارتباط ندارد.
طوری که گفته شد اگر مدار نزدیک زمین باشد R تقریباً مساوی به شعای زمین است که در حدود ۶۴۰۰ کیلو متر میباشد.
رقم g که عبارت است از تعجیل یک جسم در اثر کشش زمین مساوی است به ۹،۸۱ متر فی ثانیه مربع.
درین صورت سرعت جسم مساوی است به ۷،۲ کیلو متر فی ثانیه. نظر به این سرعت فاصله کابل هرات را میتوان در یک دقیقه طی کرد که یک سرعت سرسام آور میباشد.
سرعت دوم فضایی:
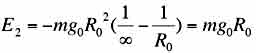
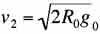
این سرعتی است که به یک جسم داده شود تا این جسم از قوای جاذبه زمین خارج شود. این عدد برای فرستادن یک سفینه به کره مهتاب و ماورای آن مهم است و بطور ذیل محاسبه میشود:
سرعتی که به یک جسم داده میشود هاوی انرژی ذیل است

از طرف دیگر جسمی که بطرف مهتاب پرتاب میشود باید به قوه کشش زمین غالب شود و این ملزوم انرژی ذیل است:

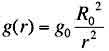
تعجیل یک جسم در اثر کشش زمین g است که طبعاً به مسافه جسم از مرکز کره زمین r بطور ذیل ارتباط دارد:

تعویض g به عبارت مافوق و بعد از محاسبه انتگرال نتیجه ذیل را ببار می آورد:

از تعادل انرژی های E1 و E2 سرعت دوم فضایی بطور ذیل استخراج میشود:

در محاسبه این سرعت نیز کتله داخل نیست یعنی سرعت به کتله ارتباط ندارد. این سرعت ۱۱.۲ کیلومتر فی ثانیه میباشد.
تناسب کتله مواد سوخت بر کتله جسم:
جسمی که به کتله M به فضا پرتاب میگردد ملزوم مواد محروقه (به شمول اکسیژن) به کتله میباشد.
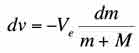
نظر به قانون معروف نیوتون قوه ایکه محصول احتراق مواد سوخت است و بالای راکت عمل میکند متناسب بر تعجیل او میگردد.
این قانون در هر لهظه t بشکل ذیل نوشته میشود:

درین عبارت t زمان و m کتله لحظوی مواد محروق میباشد. از طرف دیگر قوه محرکه راکت متناسب است به سرعت بیرون رفت گاز های سوخته و مقدار جریان این گاز ها در واحد زمان.

از مساوات این دو معادله نتیجه ذیل گرفته میشود:

بعد از اختصار معادله فوق رابطه ذیل را میتوان نوشت:

و میتوان محاسبه انتگرال ذیل را اجرا کرد:

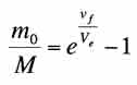
درین معادله vf سرعت نهایی راکت بوده که میتواند v1 یا v2 که قبلاً ذکر شد. بعد از محاسبه انتگرال فوق نتیجه ذیل را میتوان گرفت:

پس

ازین معادله بصورت آسان میتوان تناسب کتله مواد سوخت بر کتله جسم را استخراج کرد.

سرعت خروجی گاز های سوخته وابسته به تکنالوجی ماشین راکت هاست. در سال های قبل از جنگ دوم جهانی این سرعت که در نتیجه مواد سوخت معمولی آن زمان یعنی تیل طیاره بود از ۲ کیلو متر فی ثانیه تجاوز نمیکرد. درین صورت تناست کتلوی فوق الذکر، در مثال پرتاب راکت بسوی مهتات برابر است به ۲۶۹ که این رقم بزرک سد محکی بود در براورده شدن این هدف.
بلاخره پیشرفت های بعدی در امور تکنالوجی راکت و مفکوره ساخت راکت های طبقه ای که مربوط میشود به عالم شهیر روسی بنام K.Tsiokowski انسان موفق به برآوردن این خیال و رویای انسانی شد.
بطور مثال در راکت های پیشرفته امروزی که از اکسیژن و هادروژن مایع به حیث مواد سوخت استفاده میشود، قیمت Ve به تقریباً ۵ الی ۶ کیلومتر فی ثانیه میرسد. درین صورت تناسب کتله مواد سوخت بر کتله جسم به عدد ۶ نزدیک میشود که یک کاهش بسیار بزرگ بوده سفر های فضایی را ممکن ساخت،



چند رقم جالب:
کتله مجموعی راکت Saturne5 که سفینه اپولو را به مهتاب فرستاد به ۳۰۰۰ تن میرسید و فی ثانیه ۴ تن مواد سوخت در مرحله اولی مصرف میکرد.
ضخامت جدار یک راکت برابر ضخامت یک کاغذ سگرت میشود اگر تناسب قطر ها را مدنظر گرفت،

 
		 
		